Large-Eddy Simulation #47: 6.4 x 6.4 km Homogeneous CBL


LES RUN #47: 160 m HORIZONTAL, 50 m VERTICAL RESOLUTION. Domain size 40x40x60 grid-points. Click here to see the NMSTASK file. This domain is 6.4 km (east-west) by 6.4 km (north-south) wide. This simulation the same as les#40 except new executable and domain is 10 grid-points taller to prevent the entrainment zone from bumping into the Rayleigh friction zone.

The MPEGs below are of the first two hours in the simulation. Many small convective cells ( <1 km diameter) form within the first 40 minutes causing a sudden maximum in the total-TKE and a large positive heat-flux (see first three figures after the MPEGs). After this event, the cells broaden and the CBL gradually deepens. This result is consistent with other LESs in Nieuwstadt et al. 1993. Play the MPEGs to watch the evolution of this CBL.













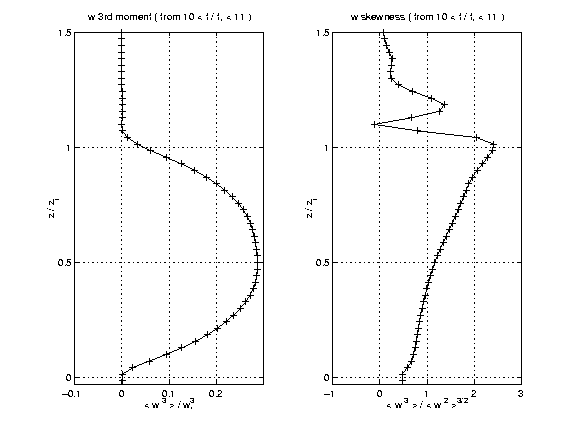
Below here, I am posting turbulence statistics computed from LES#47 between 10 and 11 large-eddy turn-over times. Ideally, turbulence statistics should be computed from as many large-eddy turn-over times as possible in stationary MLs. However, since this ML is growing (we call it quasi-stationary) and we wish to duplicate the Nieuwstadt et al. results, we follow what they did as closely as possible.


















UW Lidar // March 14, 1999 // root@lidar.ssec.wisc.edu

Return to the Index